关于2021年度湖北省远程继续教育培训班参加人员学时公示的通知
作者:管理员 发布日期:2022-01-10 20:17:39 查看次数:3010 次
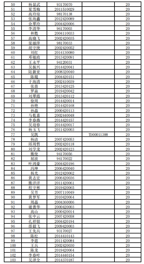
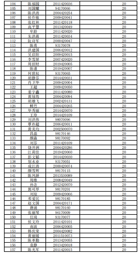
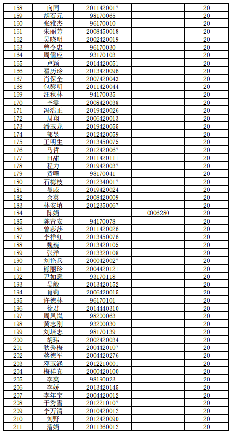
按照2021年度全国土地估价师与土地登记代理人继续教育活动计划,我省下列土地估价专业评估师和土地登记代理人参加了湖北省2021年度远程继续教育培训班,现将下半年参加学习人员的继续教育学时进行公示(见附件,共225人)。公示期为7天,若有异义,请与我会联系。
联系人:邓少蓉
联系电话:027-87830535-603
附件:2021年度远程继续教育培训班参加人员表(下半年)





